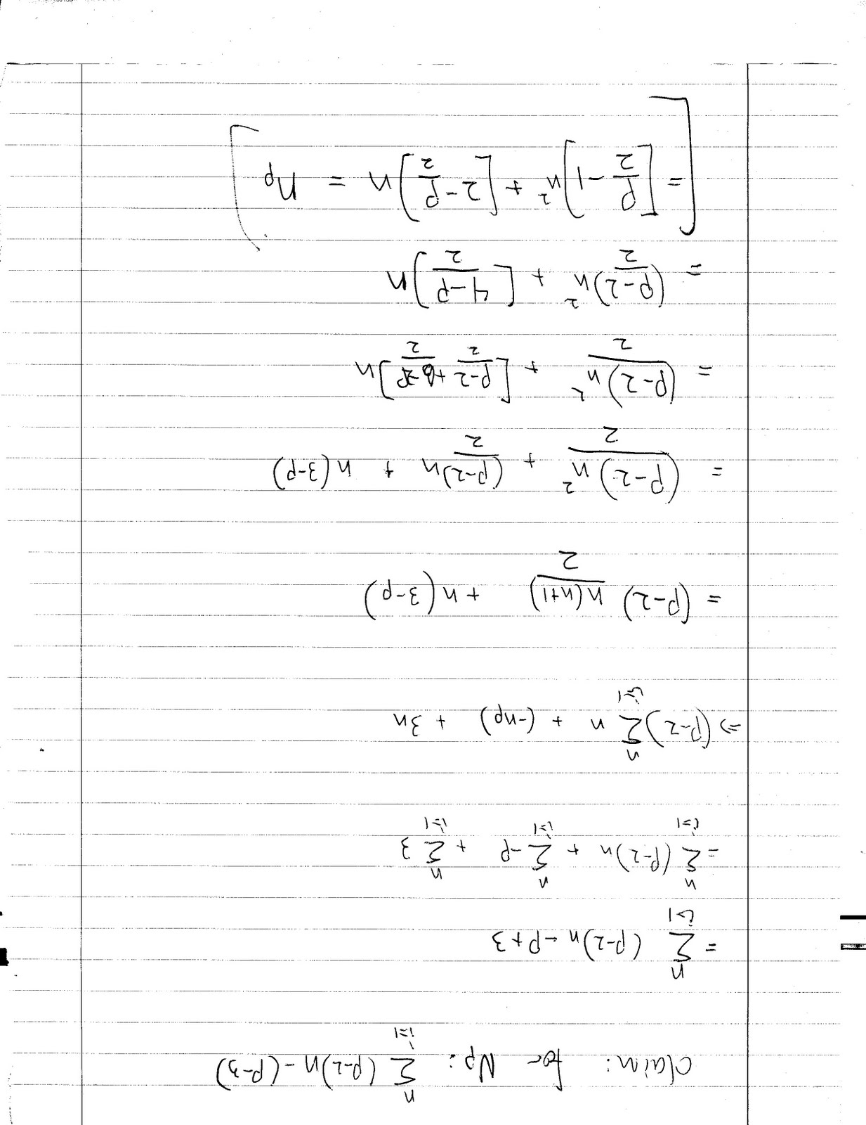
Yo. Yeah, aside from the kink in my neck from having to read upside down, your solution resembles mine in a lot of ways. As far as the proof by induction goes, I think it could probably be circumvented by reasoning based on the way dots are added to the arrays; ie: add one to the 'bottom left' side, and follow by adding a predictable number of dots to the 'middle' P-2 sides, and to the final side. Or something. Anyway, nice work.
I can't find where you identified the meaning of the variable "p", but other than that, it looks good. =)
ReplyDeleteYo. Yeah, aside from the kink in my neck from having to read upside down, your solution resembles mine in a lot of ways. As far as the proof by induction goes, I think it could probably be circumvented by reasoning based on the way dots are added to the arrays; ie: add one to the 'bottom left' side, and follow by adding a predictable number of dots to the 'middle' P-2 sides, and to the final side. Or something. Anyway, nice work.
ReplyDelete